Command Palette
Search for a command to run...
This award-winning Calculus Game Will Make You Feel Like a Fool in No Time

This article is authorized to be reproduced from the public account Bi Dao (ID: bxt_thu)
Virgo science and engineering men use scientific eyes to focus on talking nonsense seriously
A few days ago, I saw a piece of news saying that Tencent had become the agent for a foreign game called "Adventures in Calculus…The plot of the game is very simple: the heroine you play is trapped on a planet that may be destroyed by a solar storm, with onlyKeep doing calculus problemsTo escape from the predicament.

Who the hell came up with this design concept! Put yourself in their shoes, your planet is about to be destroyed by a storm, and the whole world is waiting for you to save it, and you still have the energy to do the questions with a piece of scratch paper?The merchant girl does not know the sorrow of losing the ball, and is still doing calculus across the river.
I checked and found that the original name of this game was Variant: Limits, developed by Triseum, is designed toCombine games with mathematics to help students explore the wonderful world of calculus. This game also won the 2017 World Serious Game Gold Award.

The original meaning of the word Variant is different or variant, and in probability theory it means random variable. I don’t know why the word in probability theory was used as the name of the calculus game.
Tencent is currently translating this game into Chinese.Adventures in Calculus” Although this name is so straightforward that it may even seem a bit stupid, it at least fits the content of the game very well.
Tencent said:
Just like the sense of accomplishment that every player gets when completing a game task, every science student will have the same feeling when solving a difficult problem in advanced mathematics (it turns out that this game was never intended for liberal arts students to play...)

As a science and engineering guy who got a perfect score in calculus, "Adventures in Calculus" is extremely attractive to me! After all, people from science and engineering rarely use their math skills to shine in the field of e-sports! Today I will help you experience whether this game is fun and whether it is abusive!
I put the download link at the end of the article, if you are interested, you can go and get it directly! This article is really not an advertisement, it is purely an engineering student's passion for calculus!
Let’s start the game!

After entering the game, I appeared in a room with a futuristic sense of technology. The picture quality seemed to be OK, and the game mode should be a classic RPG. Suddenly, a sexy female voice sounded in the air: "Equa, you've returned!

Wait, so my character's name is...Equa(A compliment)?
What a weird name!Equa No Equation Is this the abbreviation of ?
Name yourself "equation"You will be laughed at by your classmates for the rest of your life!
Just imagine that after Tencent localizes the app, you might enter a room with an ancient Chinese style, and the protagonist will look back at you and smile, "Excuse me, my surname is Fang, and my given name is Cheng. Sir, you can just call me Fang Cheng, hahahaha!"
It really makes people want to go up and untie her every minute...
After getting familiar with the basic operations, let's re-examine the image of the protagonist Equa. Her dark skin has a healthy highland red, which is a characteristic of people from Gansu.

She holds a huge Zen staff in her hand, which should be used to make sketches on the ground when she is doing calculus; there is a device similar to Iron Man on her chest, which must be used to enhance her skills. Judging from this appearance, this game should beUse skills - kill monsters - level upThe player uses calculus skills to fight monsters. As time goes by, more powerful calculus skills will be unlocked, and more powerful BOSS will be encountered.
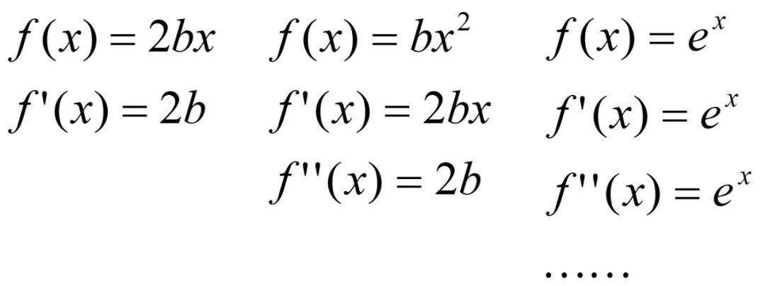
For example, when you go out at level 1, you encounter a y=2bx Linear monsters, and then you put aGuidance skillsBeat the monster into 2b. If you encounterSecondary monster y=bx^2, we needUse the skill twiceTo be able to play 2b. If you encounterExponential Monster y=e^x, he will be interested in your guidance skillsimmunity.

According to Tencent's routine, it is estimated that there will be some other settingsGet the Lagrange Mean Value Theorem for your first deposit,Daily draw to unlock powerful skills L'Hôpital's Law, 100 diamonds will allow players to obtain the Leibniz skinAnd so on.
But when I started playing this game, I found that none of the above things were there! This game is so simple, so simple that you don’t even need a mouse!!!

Besides WASD, the only useful keys are E,When you see something moving, stand next to it and press E to check it out. There is no other function in this game.

The operation is so simple, there is no interactivity at all. The protagonist has no skills, there are no players in the game, no NPCs in the map, and no monsters attacking me. I just ran without saying anything the whole time. I guess even Mbappe couldn't catch up with me. If you don't know, you might think this is a parkour game.

Are you annoying? Please let me do the questions!
After running aimlessly for 10 minutes, I saw aBroken Bridge, it seemed to be the place where White Snake and Xu Xian met.

This bridge is impossible to cross, but I won’t fall into the water if I rush over it. The atmosphere is a little awkward, and I feel the smell of calculus in the environment.Are we finally going to start doing the questions? So excited!
There is a pier next to the bridge. After all, the only operation that can advance the plot in this game is to press E. I stood next to it and pressed E.

The question is out! Let’s take a look! ! !

There are a lot of new words, let me translate them for you:Place the ball on the left onto the point on the right image.
That's it? I have the Taylor expansion ready, but where is your calculus? ? ? It seems like this is a free point question, so let's just do it casually.

Put it in place and the bridge will be open.

The road to heaven is wide and broad
After running two steps, there was another broken bridge in front of me, but this time after pressing E, there was at least a question.

This question is probably: carefully consider the properties of the two points on the image,Place the ball on the left at the point on the right image where the left limit exists.
(A note for those who haven’t learned “limits”:

This question is not a problem at all, just put the dots on the left onto the image on the right. The problem is that this is the only operation you can perform in this game!

What kind of game is this! When doing the questions, the player can only choose the correct answer, leaving no room for error. It turns a left limit problem into a connect-the-dots game!
You can't jump off the broken bridge, and there's not much room for error in the questions. Even a poor student can't commit suicide in this game!
Anyway, I repaired more broken bridges later.Each bridge is a problem related to limits, but it gradually deepens the understanding of left and right limits and function values.The questions became more and more fancy, and some of them made me confused at first glance.
For example:

Another example is this:

Translate:Given the graph of the piecewise function f(x) as shown on the right, try to mark the corresponding existence of the left and right limits in the following 6 points.

Then just relax... Anyway, these questions,Even if you don't know any calculus, you can pass the test by just clicking randomly..
The first chapter ends with a crazy release, let’s review:In this chapter we learned the left limit and right limit of functions!
In the second chapter, the scene style has changed, and the question types have also changed. While I was parkouring, a big ugly rock suddenly blocked my way.Apparently, this stone is a question...
The title is a function graph and a yellow vertical line.

When I drag the yellow line, the value on the function graph changes accordingly, and the ugly big rock moves the corresponding distance!
It seems that this question is to test the player'sThe value of function f(x) changes as the value of x changesunderstanding.

The big rock has been moved, let's go!
Hello Developer, I have a question:Where is calculus!!!
Honestly, didn’t we learn the knowledge of functions in the second year of high school? The last big question in the college entrance examination is derivative! How come it gets easier and easier as we play it later… Anyway, I moved the stone away and ran over. It’s really a stone that you can’t recognize without playing…
After crossing the stone, we encountered two bigger stones behind us.

This question is very interesting! The two functions g(x) and h(x) on the right control the height of the two stones. When the values of these two functions are adjusted to a suitable state, a step will be formed, and I can go down. This question inspires players to have a deep understanding of the different mapping relationships between functions as a set to other sets.

The later problems were more and more ingenious, and I even felt excited when doing them. For example, in this wheel, as the yellow line moves, the two wheels will rotate with the function value.

Only when f(x) rotates by 0.5π and g(x) rotates by 1.5π, can the gaps of the two wheels be put together to form a door! What a genius! A simple problem reflects the law of change of the absolute value function of axial symmetry and the value of periodic trigonometric functions. It is not an exaggeration to say that it contains the embryo of Fourier transform.

The subsequent questions started to get a bit confusing. For example, in this strange square, the player needs to choose the appropriate limit operation to make g(x)=2.

Sometimes there are complicated situations where a bunch of functions or two functions are added together. Various tedious function calculations will make you completely forget what the hell this game has to do with calculus.

It looks complicated but just pull left and right.
Of course, these questions still have the same problem. Even if you don’t understand functions, you can pass them by just clicking randomly...
With the last question officially completed, I reached the end of the trial version of Calculus Adventure and had to spend money.

Is this the end? I was having a great time, butDifferential OperatorI haven't seen it.Adventures in CalculusThat's it?
Frankly speaking, the content of this trial version is a bit too simple. I don’t know how long it will take to learn ε-δ language and solve high-order partial differential equations if I only reach the limit definition in 1 hour…
However, I strongly recommendAbout to learnorStudied calculusStudents who are new to calculus should play this game! On the one hand, calculus novices can really grasp the basic content of calculus after playing it. On the other hand, for those who have learned calculus, the questions, scenes, and dialogues in it are all full of slots! You will definitely laugh a lot when playing it, and understand what is calledquickhappymicroproductpoint!

Finally, if you want to play a game quietly,Adventures in CalculusIt must be your best choice.
After all, this may be the only game in the world that has no elementary school students playing it.
