Command Palette
Search for a command to run...
The CoTCN Model Developed by the Institute of Atmospheric Physics Has Significantly Improved the Accuracy of Global Sea Surface Temperature Forecasts, With a 1-day SST Forecast Error of Only 0.2°C.

At the 2025 CCF Global High Performance Computing Academic Conference, the team led by Researcher Lin Pengfei from the Institute of Atmospheric Physics, Chinese Academy of Sciences, reported an important research result.The team successfully developed the CoTCN deep learning model that couples the Transformer and CNN frameworks.Breakthroughs have been made in the field of short-term forecasts of global sea surface temperature, providing key technical support for marine environment forecasts.
HyperAI has compiled and summarized the in-depth sharing of Researcher Lin Pengfei without violating the original intention. The following is the transcript of the speech.
Innovative architecture solves multi-scale modeling challenges
Changes in ocean surface temperature are closely related to atmospheric circulation, land precipitation, etc., and have an important impact on ocean shipping safety, marine fishery ecology and marine environmental monitoring.However, traditional dynamic forecasting models have problems such as slow operation speed and inconvenient deployment, while single-architecture artificial intelligence (AI) models face limitations such as lack of local details or difficulty in modeling global dependencies.Especially in active mesoscale eddy areas such as the Kuroshio Current and the Gulf Stream, it has been found that the sea surface temperature error of existing dynamic and AI forecasts in eddy active areas is at least 40% higher than the global average.
* For example, the long short-term memory (LSTM) network, developed in the past, can effectively capture the time series evolution characteristics of SST, overcome the vanishing gradient problem of traditional neural networks, and achieve fast and accurate predictions. However, this method still lacks a physical explanation, and its prediction of extreme events depends on the coverage of training data.
doi: 10.3878/j.issn.1006-9895.2302.22128
The speech reported the newly constructed CoTCN model.CoTCN adopts a dual-branch parallel architecture.It cleverly combines the global modeling capabilities of Transformer and the local feature extraction advantages of CNN.
Branch 1 builds a multi-scale feature pyramid based on Swin Transformer.The resolution is gradually downsampled from 720×1440 to 45×90, and information of different scales is integrated through skip connections.
Branch 2 uses a CNN encoder-decoder structure specifically responsible for maintaining spatial continuity and local details.The two branches are adaptively fused through the channel attention mechanism, and the model can automatically determine whether to rely more on global information or local details in different sea areas and at different scales.
The two branches work together to highlight the advantages of CNN and Transformer and improve the prediction accuracy.

Performance surpasses existing models in all aspects
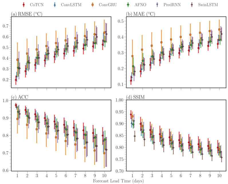
The research was fully validated using NOAA OISST v2 global ocean data, covering a 40-year time series from 1982 to 2022. Test results on a domestic DCU computing platform demonstrated that CoTCN exhibited significant advantages over mainstream models such as ConvLSTM, ConvGRU, AFNO, PredRNN, and SwinLSTM.
In terms of forecast accuracy, CoTCN's 1-day root mean square error (RMSE) is approximately 0.2°C, and the correlation coefficient remains above 0.8 for 10-day forecasts. Comparing forecast indicators, CoTCN performs stably in evaluation metrics such as root mean square error (RMSE), mean absolute error (MAE), correlation coefficient (ACC), and structural similarity index (SSIM). More importantly, the model performs particularly well in complex waters.The forecast error in eddy active areas such as the Kuroshio Current and the Gulf Stream has been reduced by 15-60%, whereas in relatively calm waters such as the tropical Pacific and Atlantic Oceans, the performances of the various models are relatively close.

Domestic computing power supports efficient training
This research was entirely based on domestic DCU for training and verification, and completed comparative experiments with multiple mainstream models in a test environment with 32 DCUs and a single card with 16GB of memory.In terms of training efficiency, CoTCN performs well, completing training in just 5.93 hours at a scale of 68M parameters.The AFNO model, with 106M parameters, required 8.33 hours, while the ConvGRU and PredRNN models, due to RNN sequence limitations, required 11.28 hours and 25.04 hours, respectively. This not only validates the advanced nature of the CoTCN model, but also demonstrates that architectural design is more critical than simply increasing the number of parameters. It also demonstrates the important role of domestic high-performance computing platforms in supporting cutting-edge scientific research.
About Researcher Lin Pengfei
Lin Pengfei is a researcher at the Institute of Atmospheric Physics, Chinese Academy of Sciences. He is mainly engaged in the development and application of ocean models. He has developed my country's domestic global ocean circulation model LICOM and its coupled model. The global ocean model has a horizontal resolution of up to 1km. Based on LICOM, he established a high-resolution ocean environment forecast system and carried out intelligent dynamic integrated forecast research in combination with artificial intelligence. Using domestic climate system models, he carried out my country's own super ensemble simulation experiments and conducted in-depth research on the interdecadal changes of the climate system. He has published more than 50 papers as the first or corresponding author in journals such as Nature Communications and Science Bulletin. He presided over the National Key R&D Program project and the Chinese Academy of Sciences pilot project, and participated in the National Natural Science Foundation integrated project and major projects. He won the 2024 and 2025 Supercomputing Annual Best Application Awards of the China Computer Society. He was selected as one of the top ten meteorological scientific and technological advances in China in 2024 and the top ten scientific and technological advances in China's oceans and lakes.
Paper information:
1. A Coupled Transformer–CNN Network: Advancing Sea Surface Temperature Forecast Accuracy. IEEE Transactions on Geoscience and Remote Sensing, 63, 1–14.
https://doi.org/10.1109/TGRS.2025.3574990
2. A New Transformer Network for Short-Term Global Sea Surface Temperature Forecasting: Importance of Eddies. Remote Sensing, 17(9), 1507.
https://doi.org/10.3390/rs17091507
3. Short-term forecast of sea surface temperature in the equatorial Pacific using long short-term memory network (LSTM). Journal of Atmospheric Sciences, 48(2), 745–754.
https://doi.org/10.3878/j.issn.1006-9895.2302.22128
Get high-quality papers and in-depth interpretation articles in the field of AI4S from 2023 to 2024 with one click⬇️









